
Blog
大学受験ブログ

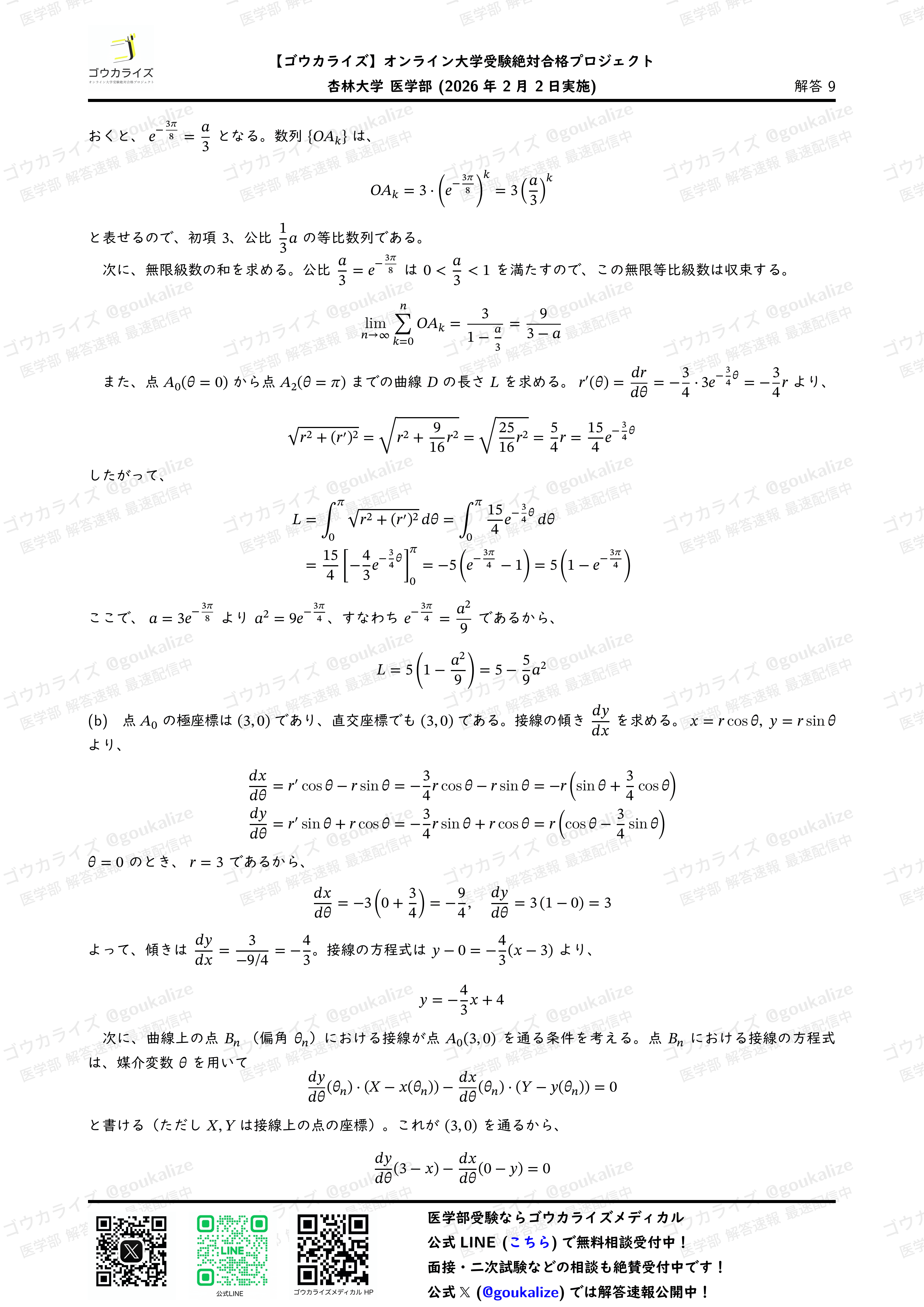
【2026年解答速報】杏林大学医学部 数学 (2/2実施)
2026/2/2実施の杏林大学医学部 医学部の数学の解答速報です。
こんにちは!ゴウカライズです!
ゴウカライズでは今年も解答速報の最速公開を行います。
noteには画像を載せますが問題・解答解説をPDFで受け取りたい方は公式LINEで「杏林大学解答速報」と送信してください。
自動送信なので、正確に送ってください。
(画像は本noteにすべて載っています!)
https://line.me/R/ti/p/@965ezfgt?oat_content=url
また、オープンチャットでは質問などもけ付けています。
受験生との交流にもつかってください
オープンチャット「2026年 医学部 解答速報【ゴウカライズ】」
数学












【無料相談受付中】医学部受験対策はゴウカライズにおまかせを!
「学科試験の対策で手一杯で、面接対策まで手が回らない…」「学科試験対策が不安…」
そんな悩みをお持ちの受験生・保護者の皆様、ゴウカライズメディカルにご相談ください!
医学部受験のプロが、学科試験から面接・小論文、出願書類の作成まで、合格に必要なすべてをトータルサポートします。
完全オーダーメイドの学習計画: あなたの現状と志望校に合わせて、学科試験対策と面接・小論文対策の最適なバランスを設計します。日々の進捗管理で、学習の遅れも見逃しません。
プロ講師・現役医大生の個別指導: 学習管理だけでなく、経験豊富なプロ講師や現役医大生による完全個別指導も提供しています。苦手科目の克服や過去問解説など、あなたのニーズに合わせた1対1の指導が可能です。
志望大学特化の対策: 面接対策、小論文対策、志望理由書作成など、大学ごとの特性に合わせた実践的な指導を行います。
まずは無料相談で、あなたの合格までのロードマップを一緒に描きませんか?無理な勧誘は一切ありません。
また、公式LINEでは無料相談を受付中です!
https://line.me/R/ti/p/@965ezfgt?oat_content=url
#解答速報 #医学部数学 #ゴウカライズ #医学部専門予備校 #入試数学
医学部受験生はこちらへ!
獣医学部受験生はこちらへ!
ゴウカライズ編集部
オンライン予備校ゴウカライズの編集部が、大学受験に役立つ情報を整理してお届けしています。
