
Blog
大学受験ブログ

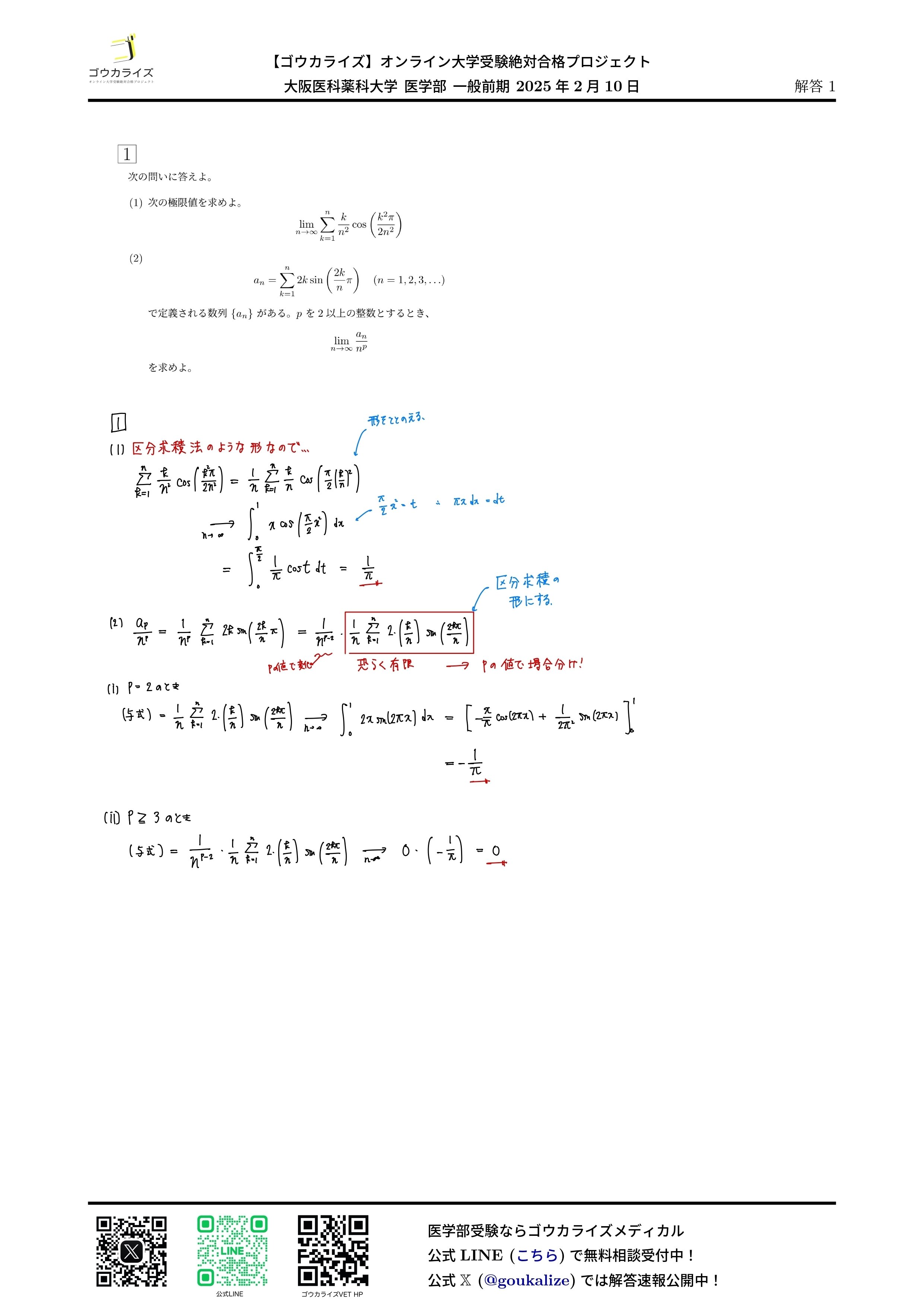
大阪医科薬科大学 医学部 一般前期 2025年(2/10) 数学 解答速報
ゴウカライズ編集部
現役京大医学部生で、京大模試では医学科内で1位を取っている豪華ライズ講師が解答速報を行います。
2025年2月10日行われた大阪医科薬科大学 医学部 一般前期試験の数学解答速報です
ゴウカライズについて
ゴウカライズはプロ講師と優秀な学生講師がタッグを組んで、大学受験に向けた指導、学習マネジメントを行う画期的なオンライン塾です。
学生講師のみが指導に当たる他塾と比較し、経験豊富なプロ講師とのタッグで指導に当たる点は大きな強みです。
また、代表講師は医学部・獣医学部にも精通しており、その方面の受験にも強い塾になっています。
公式LINEでは現在無料で勉強・受験に関する相談を承っています。
詳しくはこちらから https://goukalize.com/
また、オンライン自習室サービス 「ゴウカライズワールド」を無料で運営しています。現在無料質問ができます。
https://note.com/goukalize/n/n33a4687d301b
問題


解答




PDFはゴウカライズメディカルのHPからご覧ください
https://goukalize.com/medical/
医学部受験生はこちらへ!
獣医学部受験生はこちらへ!
ゴウカライズ編集部
オンライン予備校ゴウカライズの編集部が、大学受験に役立つ情報を整理してお届けしています。

