
Blog
大学受験ブログ

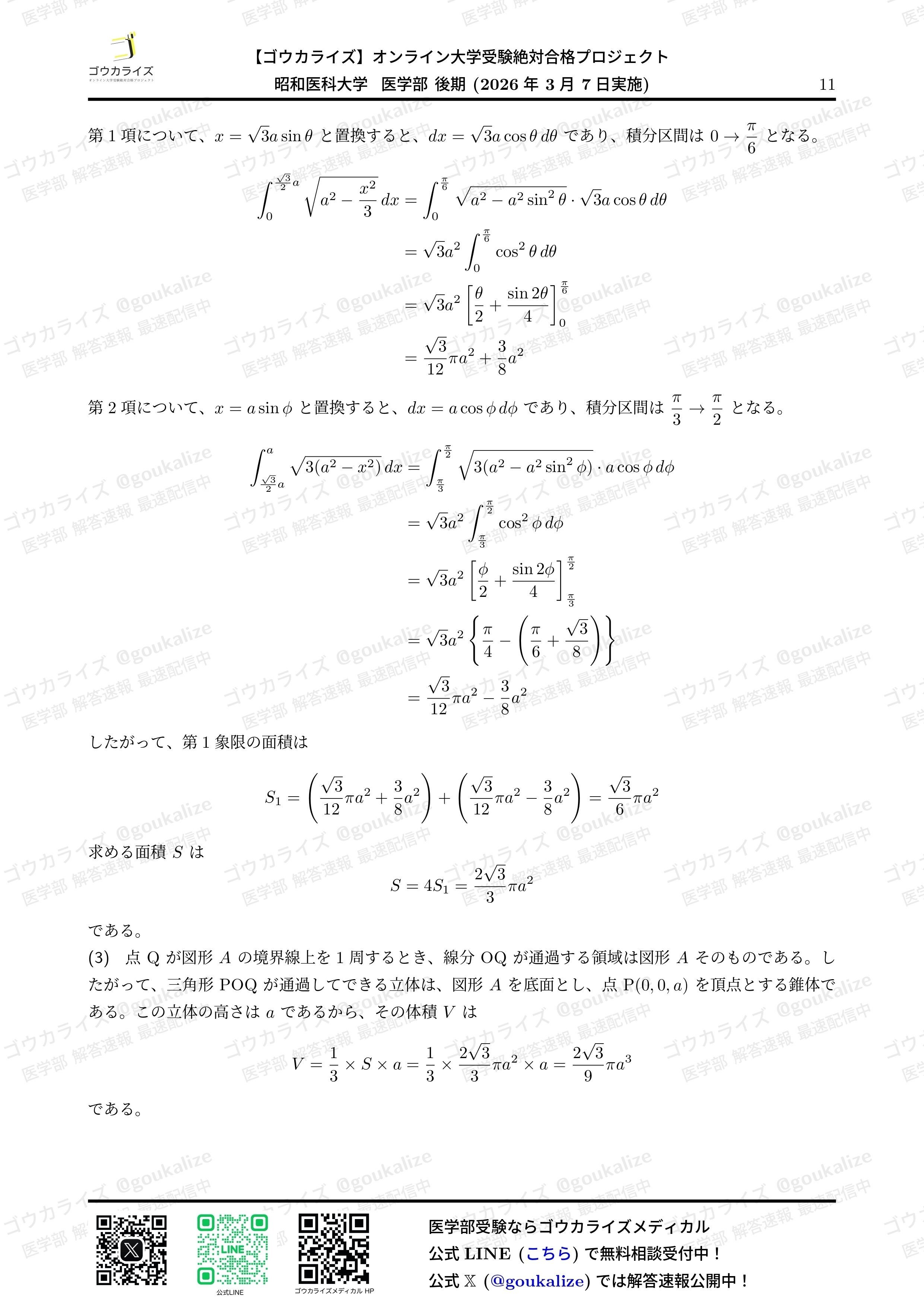
【2026年解答速報】昭和医科大学 II期(後期) 数学 (3/7実施)
2026/3/7 実施の 昭和医科大学 II期 数学 の解答速報です。
更新情報がほしい、質問や疑問があるといった場合は、解答速報オープンチャットでも質問を受け付けています。
noteには画像を載せますが問題・解答解説をPDFで受け取りたい方は公式LINEを追加後、右下の解答速報ボタンを押してください。
(画像は本noteにすべて載っています!)
無料勉強相談実施中:
新年度の予備校選びや勉強方針の相談に無料でのっています。
ゴウカライズへの入塾意志の有無は問いません。
数多くの医専での指導経験がある大北が、客観的なアドバイスを行います。
ご希望の方は公式ラインからお問い合わせください。
https://line.me/R/ti/p/@965ezfgt?oat_content=url
また、その他の解答速報は公式HPからもご覧になることができます
数学













【無料相談受付中】医学部受験対策はゴウカライズにおまかせを!
「学科試験の対策で手一杯で、面接対策まで手が回らない…」「学科試験対策が不安…」
そんな悩みをお持ちの受験生・保護者の皆様、ゴウカライズメディカルにご相談ください!
医学部受験のプロが、学科試験から面接・小論文、出願書類の作成まで、合格に必要なすべてをトータルサポートします。
完全オーダーメイドの学習計画: あなたの現状と志望校に合わせて、学科試験対策と面接・小論文対策の最適なバランスを設計します。日々の進捗管理で、学習の遅れも見逃しません。
プロ講師・現役医大生の個別指導: 学習管理だけでなく、経験豊富なプロ講師や現役医大生による完全個別指導も提供しています。苦手科目の克服や過去問解説など、あなたのニーズに合わせた1対1の指導が可能です。
志望大学特化の対策: 面接対策、小論文対策、志望理由書作成など、大学ごとの特性に合わせた実践的な指導を行います。
まずは無料相談で、あなたの合格までのロードマップを一緒に描きませんか?無理な勧誘は一切ありません。
また、公式LINEでは無料相談を受付中です!
https://line.me/R/ti/p/@965ezfgt?oat_content=url
#解答速報 #医学部数学 #ゴウカライズ #医学部専門予備校 #入試数学
医学部受験生はこちらへ!
獣医学部受験生はこちらへ!
ゴウカライズ編集部
オンライン予備校ゴウカライズの編集部が、大学受験に役立つ情報を整理してお届けしています。
