
Blog
大学受験ブログ

【2026年解答速報】北里大学 獣医学部 (2/1実施)
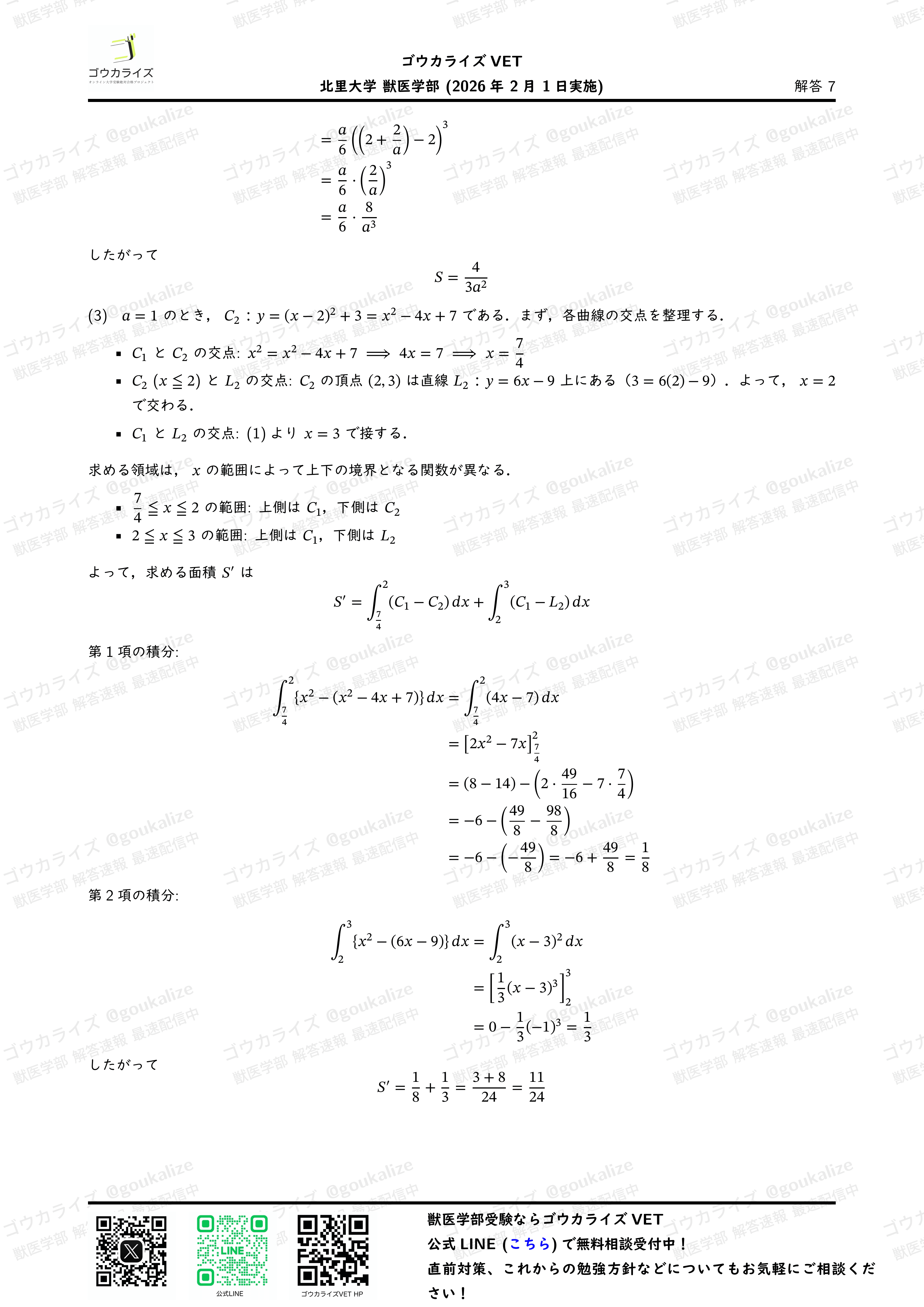
2026/02/01実施の北里大学 獣医学部の解答速報です。
数学の問題を聞き取りにより再現しました。
誤りなどがありましたら連絡をください。
最新情報がほしい、質問や疑問があるといった場合は、獣医学部解答速報オープンチャットでも質問を受け付けています。
noteには画像を載せますが問題・解答解説をPDFで受け取りたい方は公式LINEで「北里大学解答速報」と送信してください。
自動送信なので、正確に送ってください。
(画像は本noteにすべて載っています!)
https://line.me/R/ti/p/@965ezfgt?oat_content=url
数学(再現)









【無料相談受付中】獣医学部受験対策はゴウカライズにおまかせを!
「獣医学部、学科試験の点数が伸び悩んでいる…」 「推薦入試も視野に入れているけれど、特殊な面接や小論文の対策はどうすれば?」
そんな悩みをお持ちの受験生・保護者の皆様、獣医学部受験専門・ゴウカライズにご相談ください!
全国でわずか私立6+国公立11のわずか17校。
この「狭き門」を突破するため、私たちはあなたの志望校や受験方式(一般・推薦)に合わせた合格に必要なすべてをトータルサポートします。
【一般入試】完全オーダーメイドの学習計画:
獣医学部の一般入試は、わずかな失点が合否を分けることもあります。あなたの現状と志望校の出題傾向を分析し、合格ラインに到達するための最短ルートを設計。日々の進捗管理で、学習の遅れも見逃しません。
【推薦・総合型選抜】面接・小論文もプロが対応:
推薦入試や総合型選抜で必須となる「面接・小論文・志望理由書」の対策もお任せください。獣医系特有のテーマ(動物倫理や獣医療時事など)に対応できるプロ講師が、合格レベルの答案作成と受け答えを指導します。
プロ講師・優秀学生講師の個別指導:
学習管理だけでなく、経験豊富なプロ講師や、高倍率から選抜された優秀な学生講師による完全個別指導も提供。苦手科目の克服や過去問解説など、あなたのニーズに合わせた1対1の指導が可能です。
まずは無料相談で、あなたの合格までのロードマップを一緒に描きませんか?無理な勧誘は一切ありません。
また、公式LINEでは無料相談を受付中です!
https://line.me/R/ti/p/@965ezfgt?oat_content=url
#解答速報 #獣医学部 #ゴウカライズ #獣医専門予備校 #入試数学
医学部受験生はこちらへ!
獣医学部受験生はこちらへ!
ゴウカライズ編集部
オンライン予備校ゴウカライズの編集部が、大学受験に役立つ情報を整理してお届けしています。
