
Blog
受験情報

2025年 順天堂大学 医学部 (2/3実施) 数学 解答速報
順天堂大学 医学部の詳細解答解説です。復習に役立ててください
ゴウカライズについて
ゴウカライズはプロ講師と優秀な学生講師がタッグを組んで、大学受験に向けた指導、学習マネジメントを行う画期的なオンライン塾です。
学生講師のみが指導に当たる他塾と比較し、経験豊富なプロ講師とのタッグで指導に当たる点は大きな強みです。
また、代表講師は医学部・獣医学部にも精通しており、その方面の受験にも強い塾になっています。
公式LINEでは現在無料で勉強・受験に関する相談を承っています。
詳しくはこちらから https://goukalize.com/
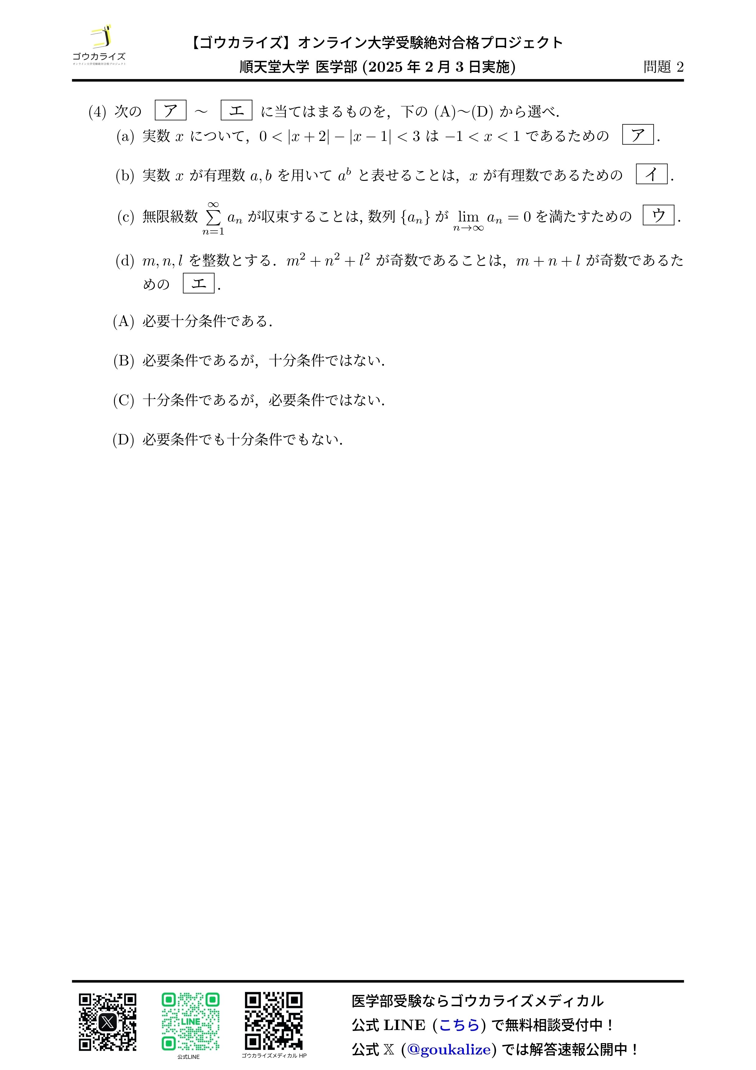
問題




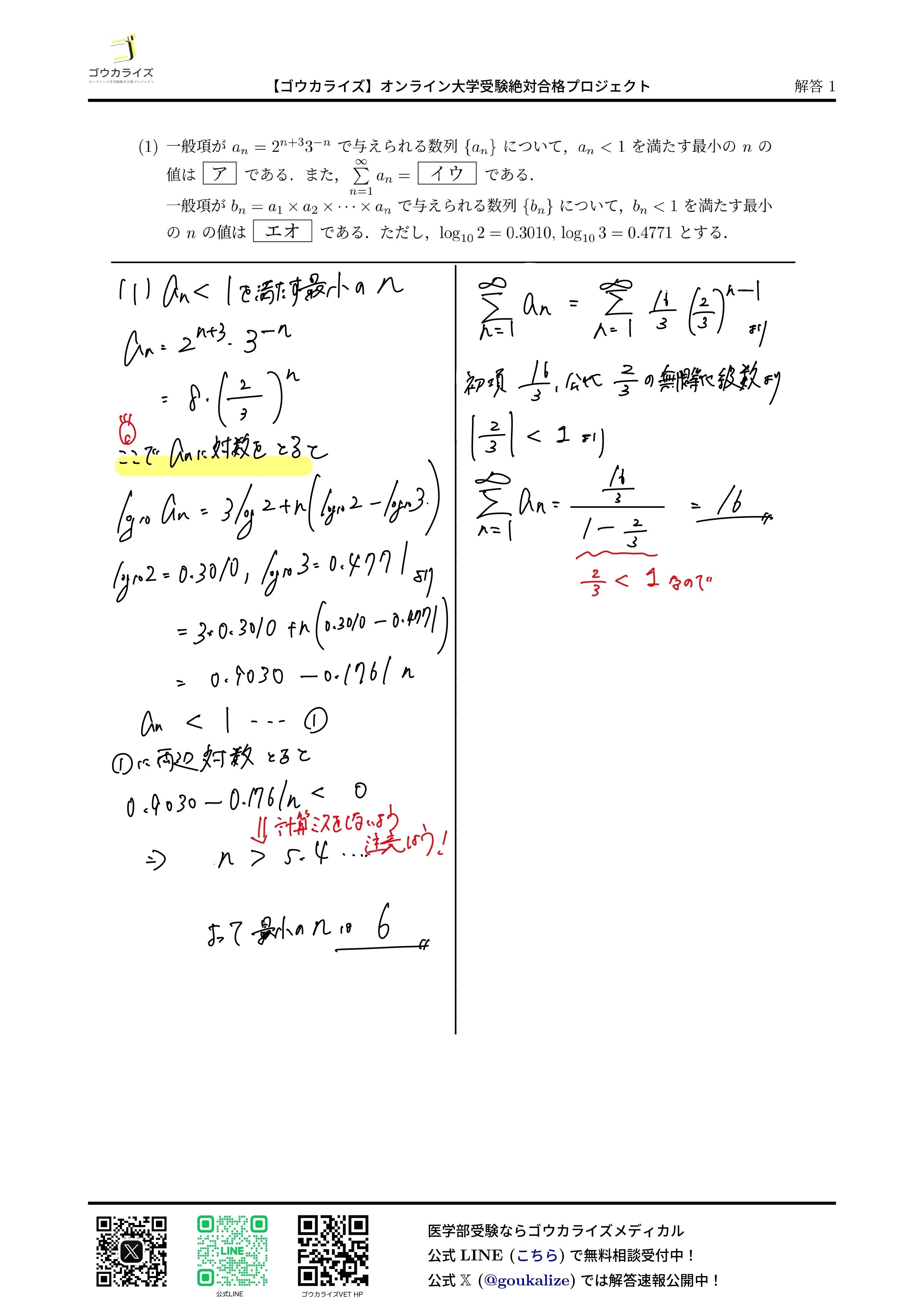
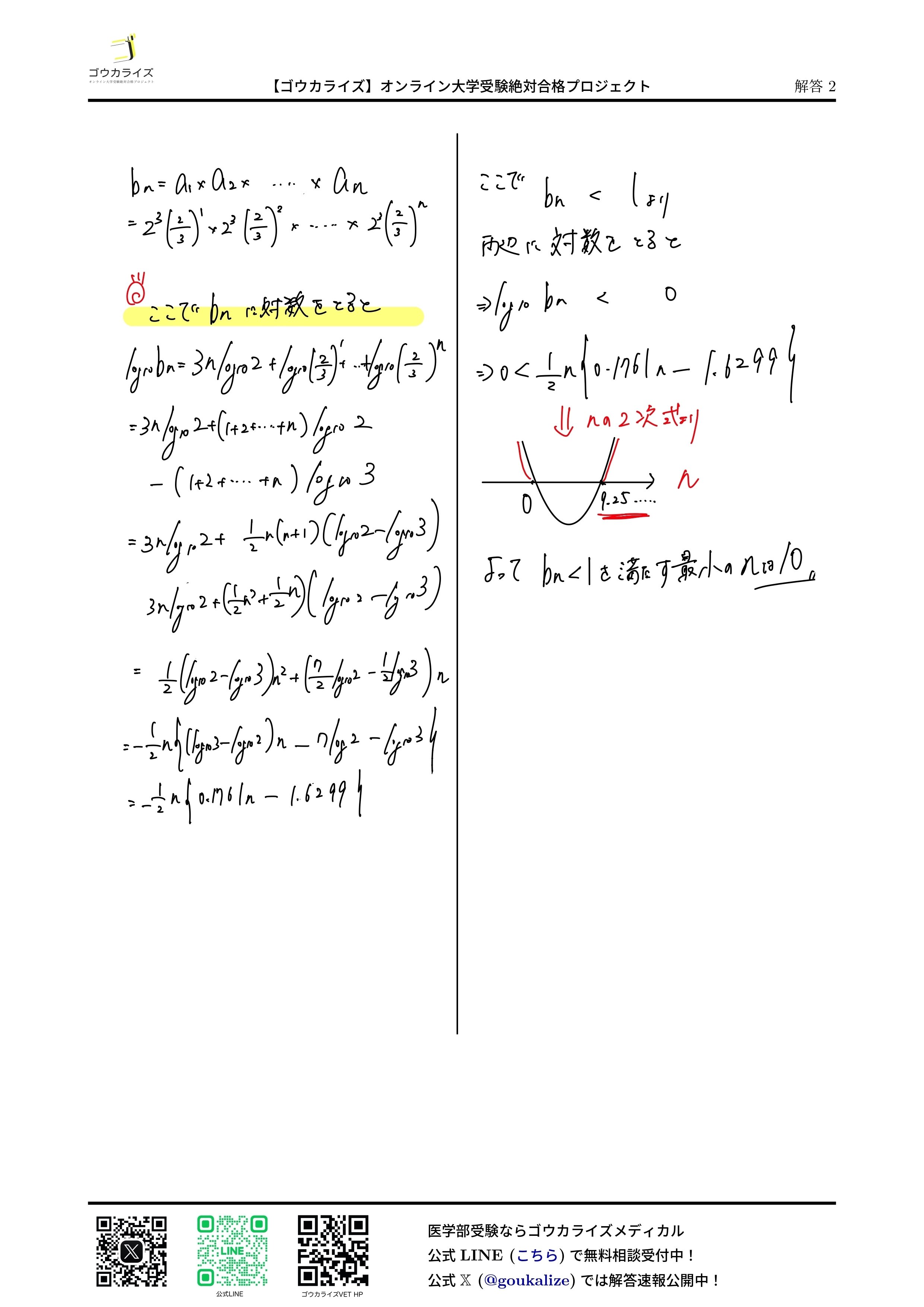
解答



