
Blog
大学受験ブログ

岡山理科大学 獣医学部 2025年(1/31) 数学解答速報
岡山理科大学 獣医学部 一般入試 前期A日程 (1/31実施)の解答解説です。
受験生の復習、過去問の解答などに利用してください。
別の日程の解説もあります。
https://note.com/goukalize/n/nf053ea4facdb
https://note.com/goukalize/n/nf389cb419728
ゴウカライズVETについて
ゴウカライズVETは、獣医学部専門の完全オンライン予備校です。自宅にいながら、最高レベルの環境で獣医学部の受験対策が可能です。代表の大北は獣医学部受験に精通しており、豊富な指導経験を持っています。特に私立大学の獣医学部に関しては、毎年ほぼ全ての大学で合格実績を上げています。
そんな大北が新たに立ち上げたのが、完全オンラインの獣医学部専門予備校「ゴウカライズVET」です。1年目の2025年度には、受験学年の生徒が1人しかいなかったものの、4年以上他の塾や予備校で成果が出なかった再受験生が、ゴウカライズVETの1年目で見事に合格を果たしました。
ゴウカライズVETの特徴は、プロ講師と学生講師の両方がいる点です。学習マネジメントでは、医学部出身の学生講師と代表の大北がチームを組み、日々の学習を管理します。「獣医学部の学生ではないの?」という疑問が生じるかもしれませんが、獣医学部志望者が獣医学部の学生から学ぶのが最適だとは限りません。なぜなら、獣医学部の学生の中には、しっかりとした教科指導ができる学力を持っていない者もいるからです。必要に応じて、獣医学部の学生はメンターとしてサポートを行います。
また、指導経験が豊富なプロ講師からしっかりとした教科指導を受けることが重要です。ゴウカライズVETでは、獣医学部予備校を中心に、大北のスカウトによって集められた精鋭の講師陣が揃っています。
ご興味のある方は、お気軽にお問い合わせください。
公式LINEでは現在無料で勉強・受験に関する相談を承っています。
詳しくはこちらから ゴウカライズVET
問題

解答





講評
大問1
全て基本問題であるので、確実に正答したい。
(1)まずは有理化し、その後にルート部分と整数部分に1度分離する。x√y は√x^2yとして考えると整数部分がわかりやすくなる。
あとは計算をするだけ。
(2)意味を考えると56の約数のうち偶数であるものを考えたらよいということが分かる。
もちろん数え上げても時間はかからないので、どちらにせよ確実に正解したい1問。
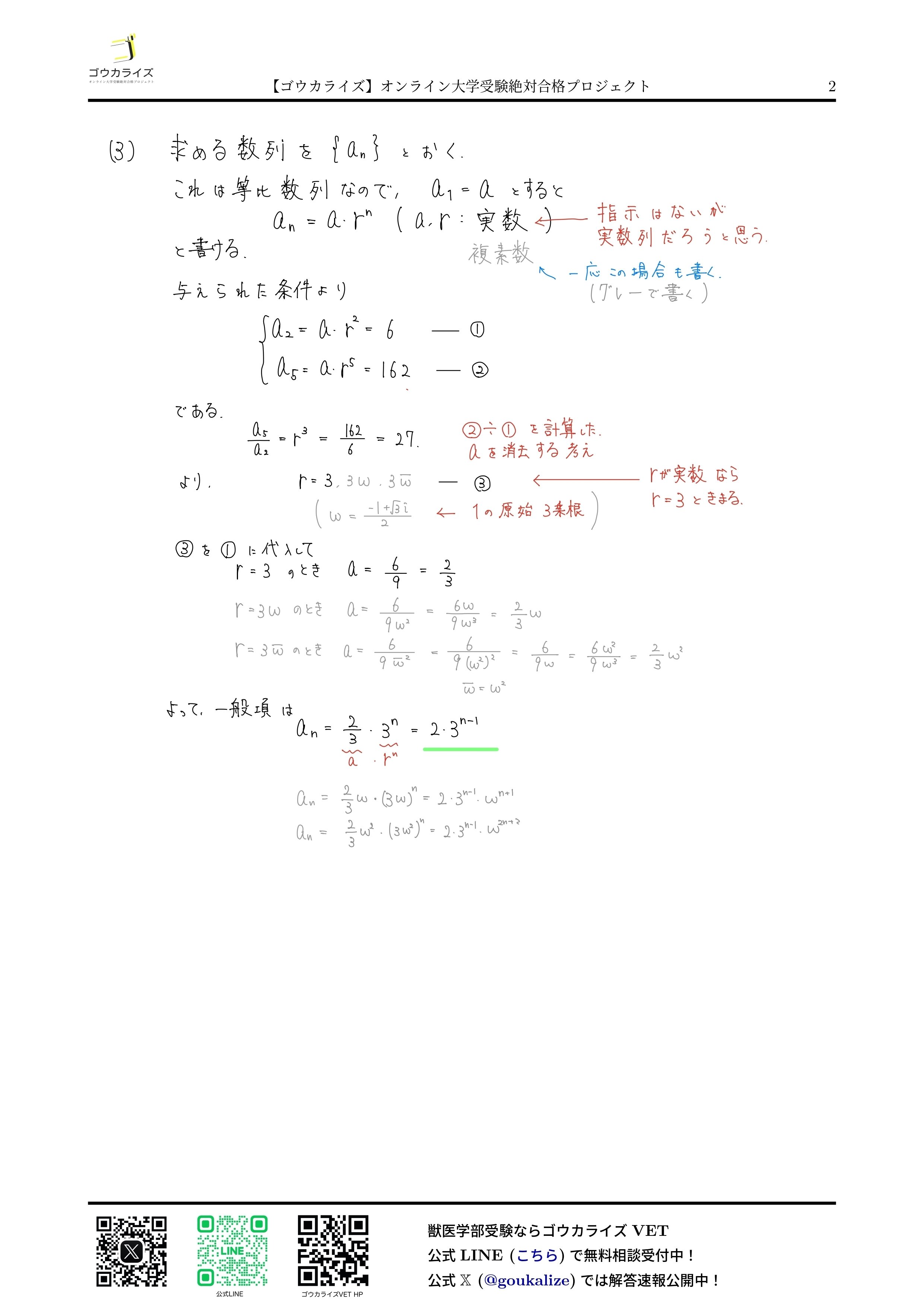
(3)等比数列という条件が与えられているので、自分で初項、公比を設定して解けば良い。
実数という条件が与えられていないが、複素数の解がないと減点されるということは恐らくないだろう。
大問2
見た目が難問チックだが手を動かしてみると簡単な問題である。解と係数との関係を使って、文字を数値に置き換えて計算したら良い。どれも簡単な問題である。
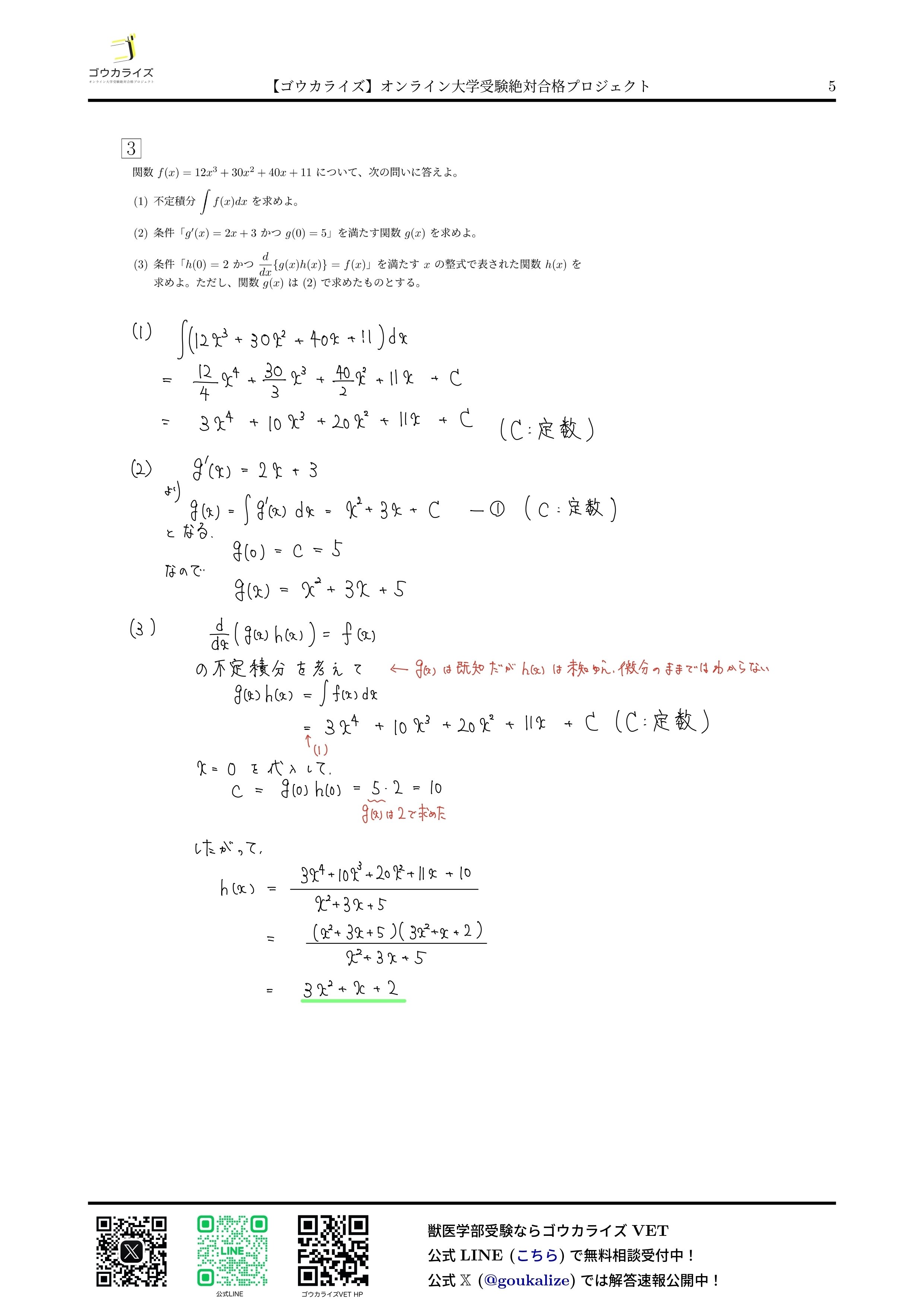
大問3
(1)に関しては言うまでもない。
(2)は∫g’(x)dx=g(x)になることを利用して解いてあげればよい。
定数部分が未知なので、もうひとつの条件で確定させて終了。
(3)は少し骨がある問題だが、(2)と同じようにして両辺を積分してあげたら良い。その後にもうひとつの条件を考えてあげて、最後にg(x)で割り算してあげたら終わりである。
ホームページからダウンロードできます
医学部受験生はこちらへ!
獣医学部受験生はこちらへ!
ゴウカライズ編集部
オンライン予備校ゴウカライズの編集部が、大学受験に役立つ情報を整理してお届けしています。

