
Blog
大学受験ブログ

慶應義塾大学 医学部 2025年(2/9) 数学 解答速報
ゴウカライズ編集部
ゴウカライズ東大生講師が 2025年2月9日行われた、慶應義塾大学 医学部の数学の解答解説を行います。
ゴウカライズについて
ゴウカライズはプロ講師と優秀な学生講師がタッグを組んで、大学受験に向けた指導、学習マネジメントを行う画期的なオンライン塾です。
学生講師のみが指導に当たる他塾と比較し、経験豊富なプロ講師とのタッグで指導に当たる点は大きな強みです。
また、代表講師は医学部・獣医学部にも精通しており、その方面の受験にも強い塾になっています。
公式LINEでは現在無料で勉強・受験に関する相談を承っています。
詳しくはこちらから https://goukalize.com/
問題




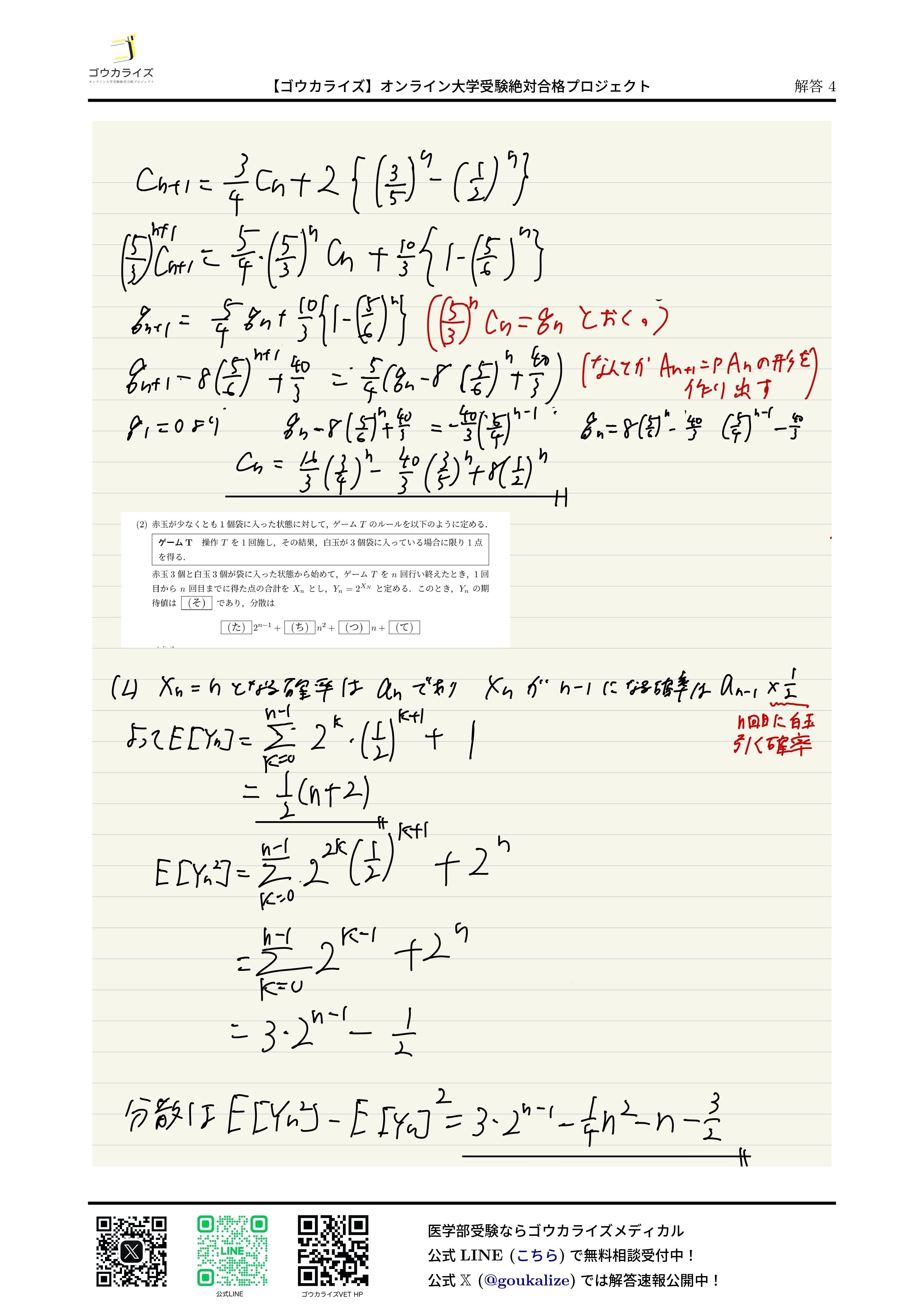
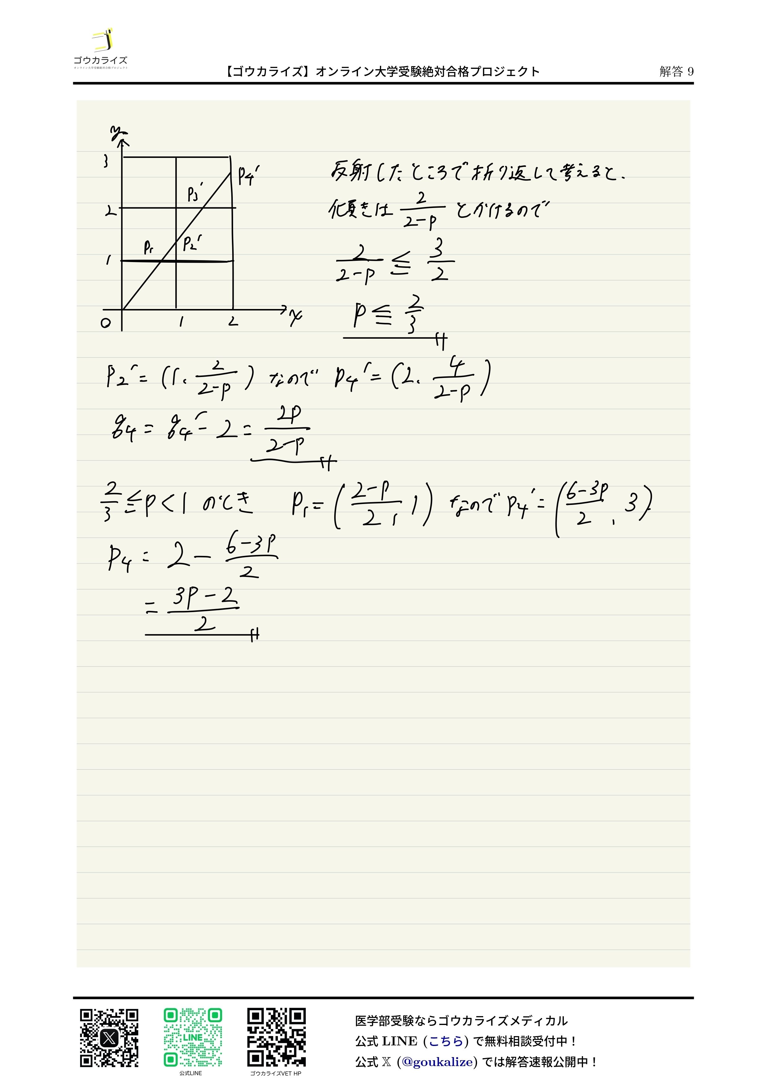
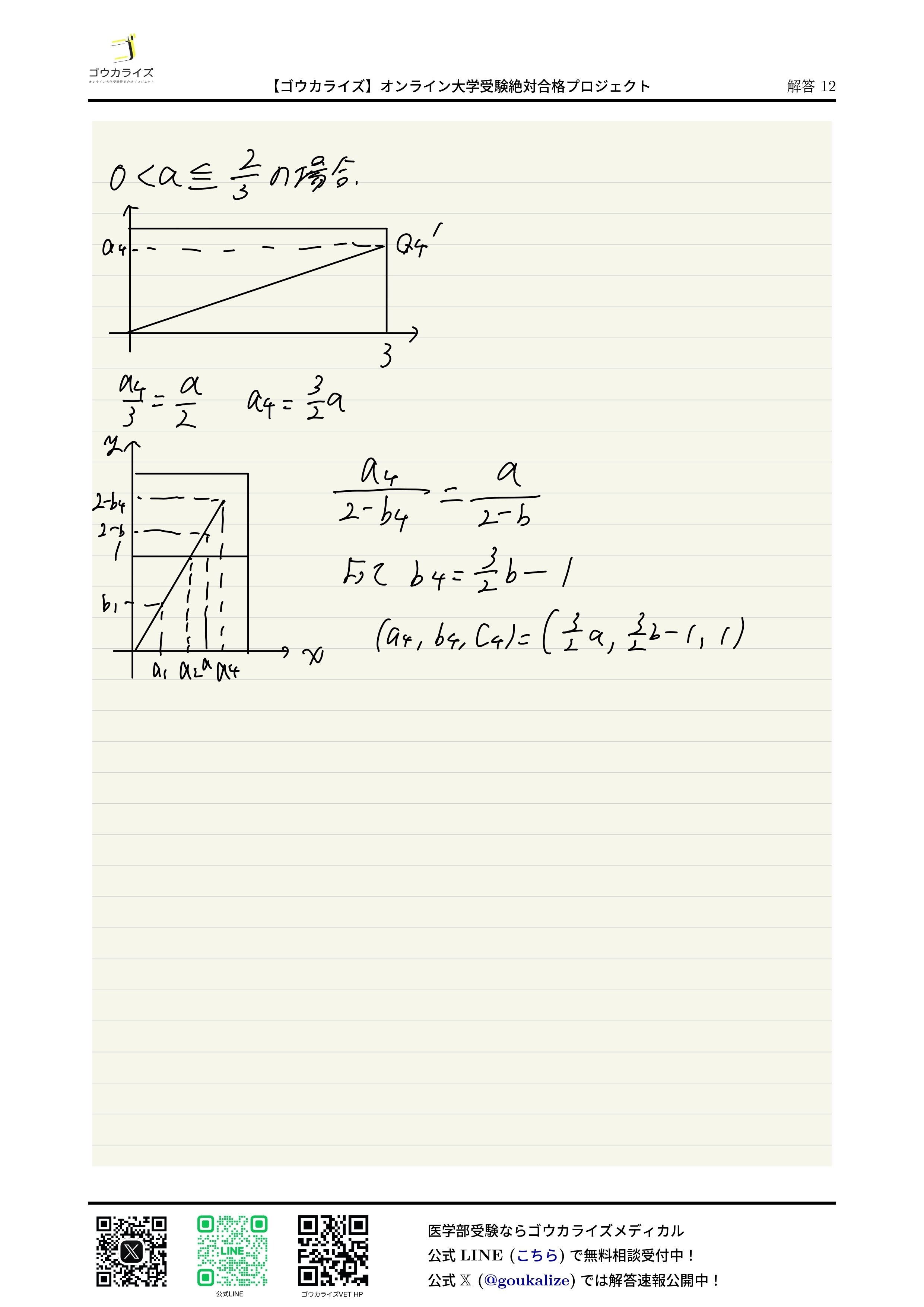
解答












PDFはゴウカライズメディカルHPからダウンロードできます
https://goukalize.com/medical/
医学部受験生はこちらへ!
獣医学部受験生はこちらへ!
ゴウカライズ編集部
オンライン予備校ゴウカライズの編集部が、大学受験に役立つ情報を整理してお届けしています。

