
Blog
大学受験ブログ

昭和大学 医学部 I期 2025年(2/7) 数学 解答速報
ゴウカライズ編集部
2025年2月7日行われた昭和大学医学部 一般選抜入試 I期の数学解答速報です。
詳しめの解説を付けています。
ゴウカライズについて
ゴウカライズはプロ講師と優秀な学生講師がタッグを組んで、大学受験に向けた指導、学習マネジメントを行う画期的なオンライン塾です。
学生講師のみが指導に当たる他塾と比較し、経験豊富なプロ講師とのタッグで指導に当たる点は大きな強みです。
また、代表講師は医学部・獣医学部にも精通しており、その方面の受験にも強い塾になっています。
公式LINEでは現在無料で勉強・受験に関する相談を承っています。
詳しくはこちらから https://goukalize.com/
問題
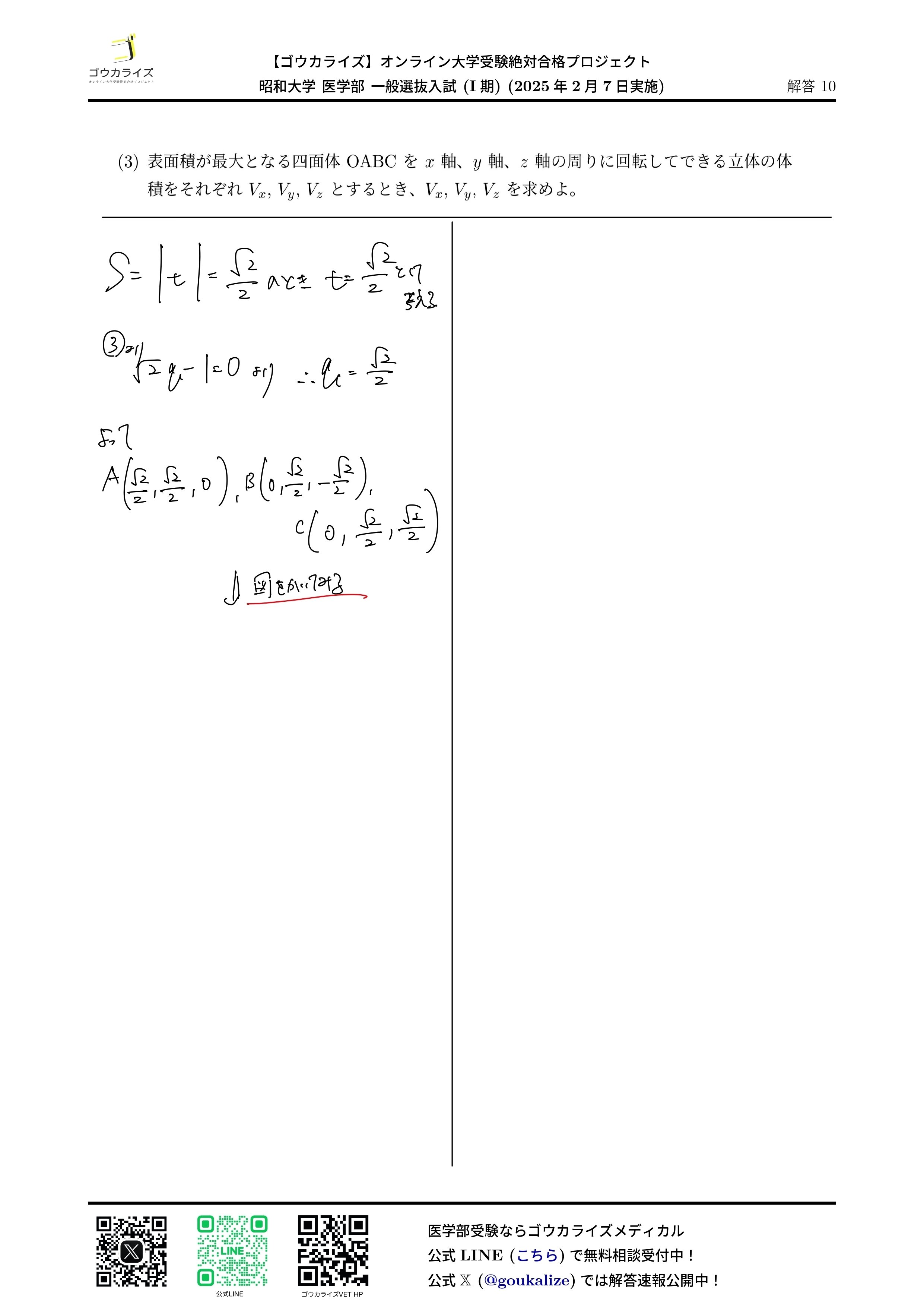
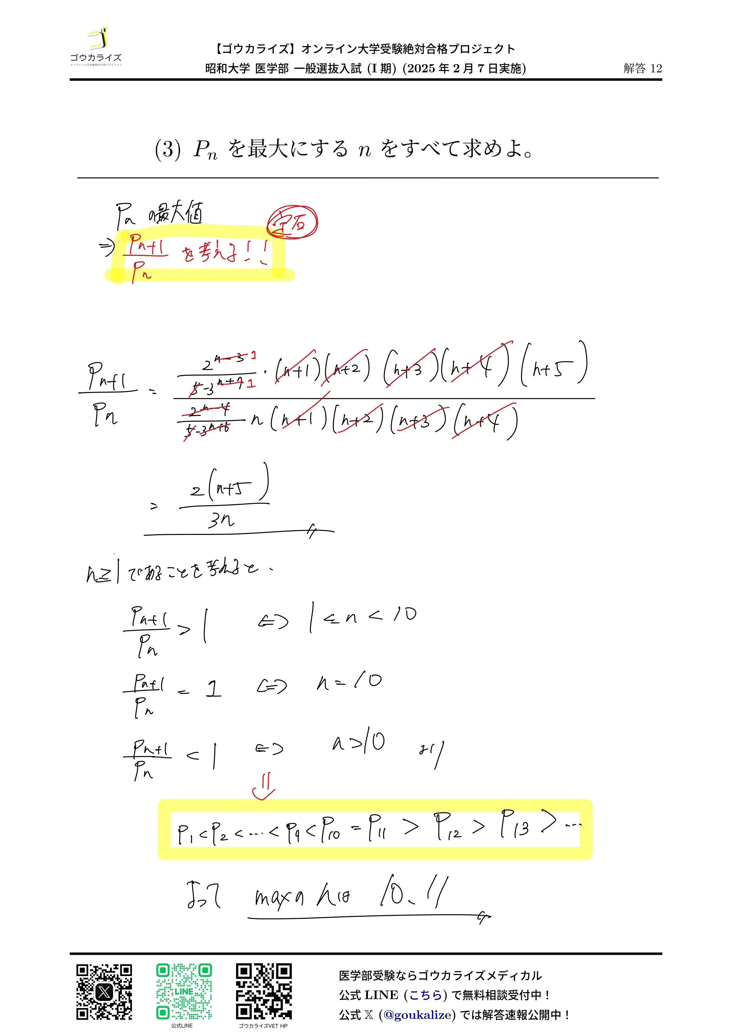
解説





https://goukalize.com/medical/
ゴウカライズメディカルのHPで配布しています
医学部受験生はこちらへ!
獣医学部受験生はこちらへ!
ゴウカライズ編集部
オンライン予備校ゴウカライズの編集部が、大学受験に役立つ情報を整理してお届けしています。

