
Blog
大学受験ブログ

慶應義塾大学 経済学部 2025年(2/12) 数学 解答速報
ゴウカライズ編集部
ゴウカライズの東大講師と京大講師による慶応経済の解答速報です。
ゴウカライズについて
ゴウカライズはプロ講師と優秀な学生講師がタッグを組んで、大学受験に向けた指導、学習マネジメントを行う画期的なオンライン塾です。
学生講師のみが指導に当たる他塾と比較し、経験豊富なプロ講師とのタッグで指導に当たる点は大きな強みです。
また、代表講師は医学部・獣医学部にも精通しており、その方面の受験にも強い塾になっています。
医学部専門コースとしてゴウカライズメディカル、獣医学部専門コースとしてゴウカライズVETが設置されています。
獣医学部専門予備校、医学部専門予備校をお探しの方はぜひゴウカライズをご検討ください。
公式LINEでは現在無料で勉強・受験に関する相談を承っています。詳しくはこちらから https://goukalize.com/
また、無料のオンライン自習室サービスであるゴウカライズワールドにもぜひご参加ください。
https://note.com/goukalize/n/n33a4687d301b
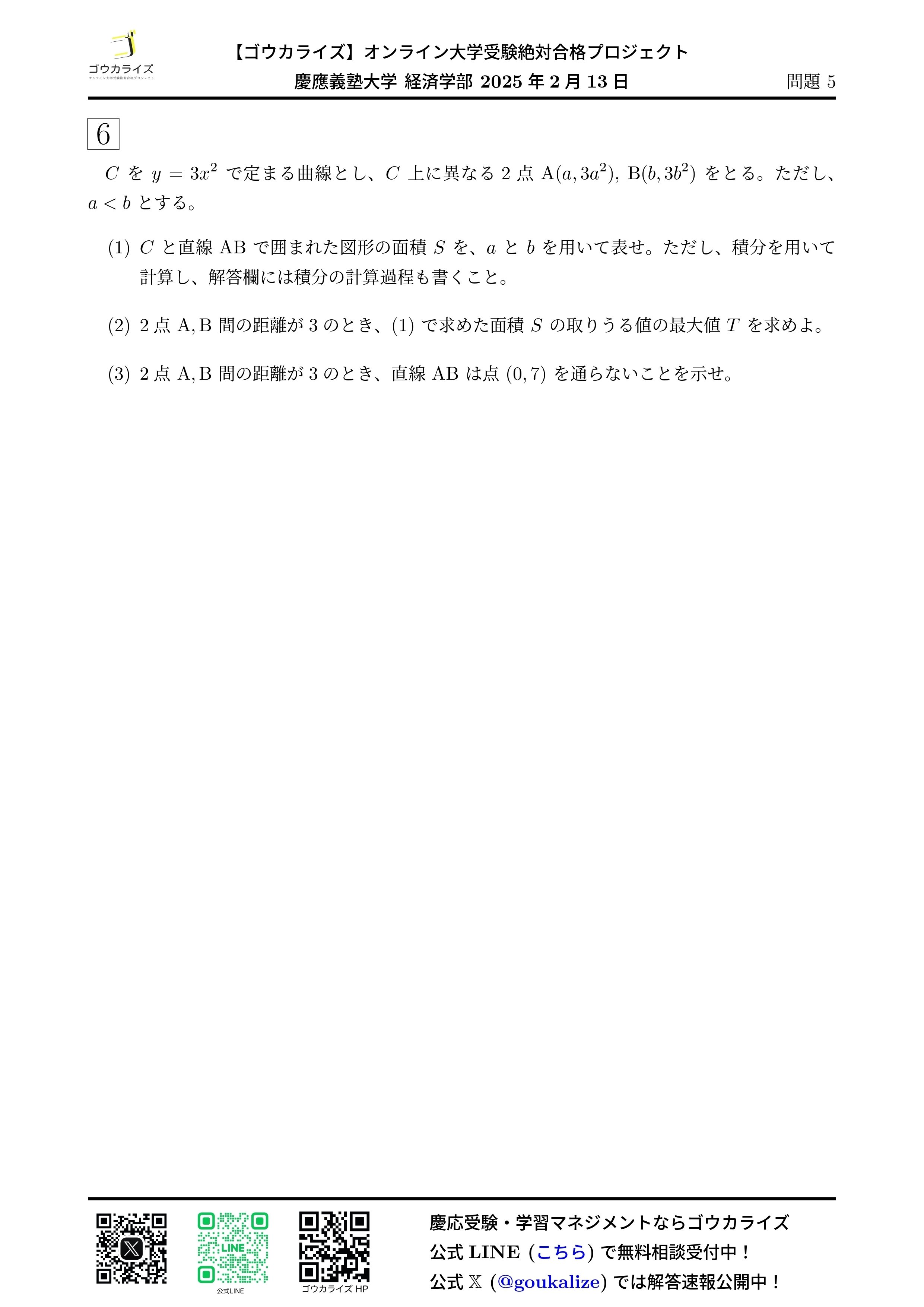
問題





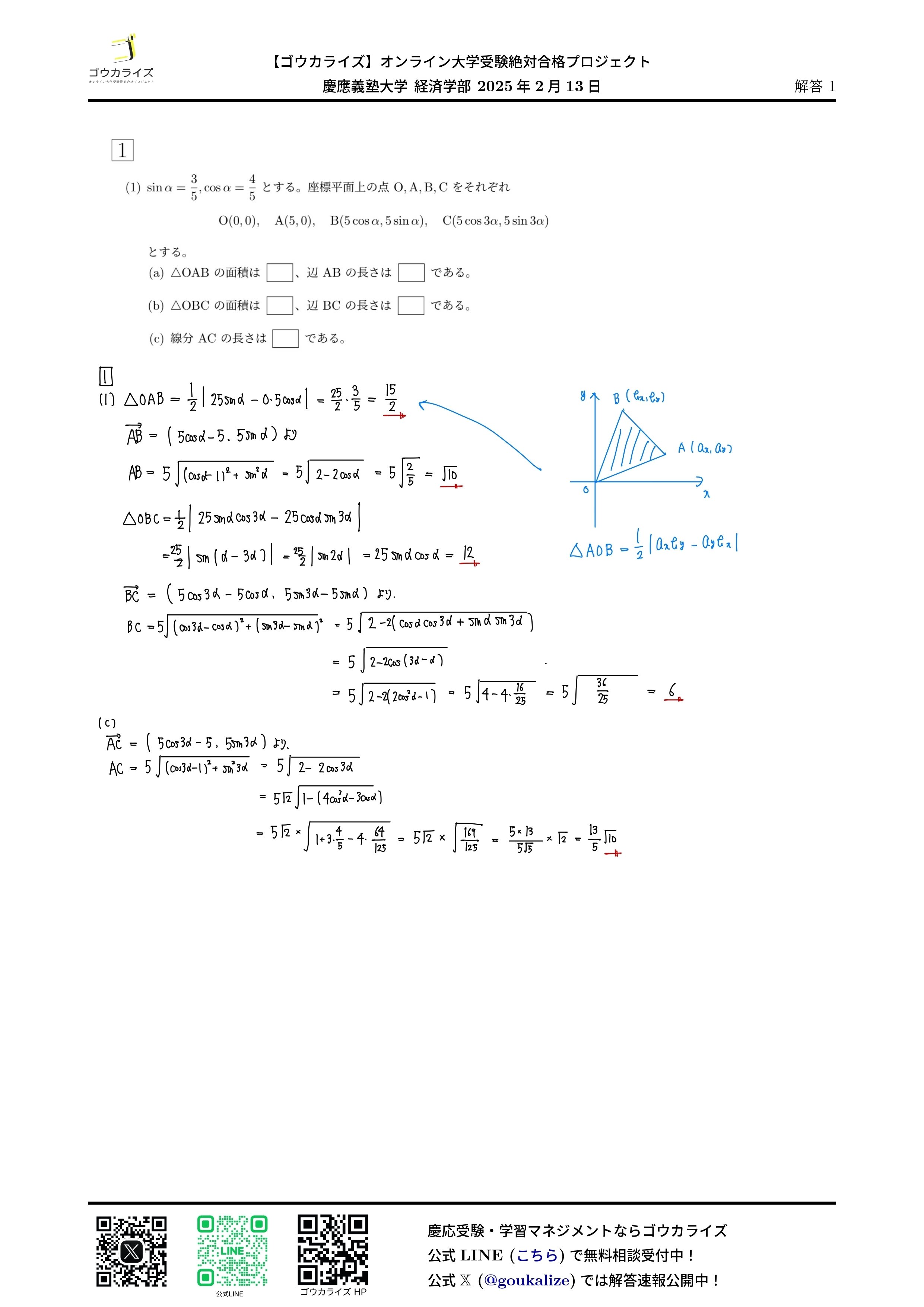
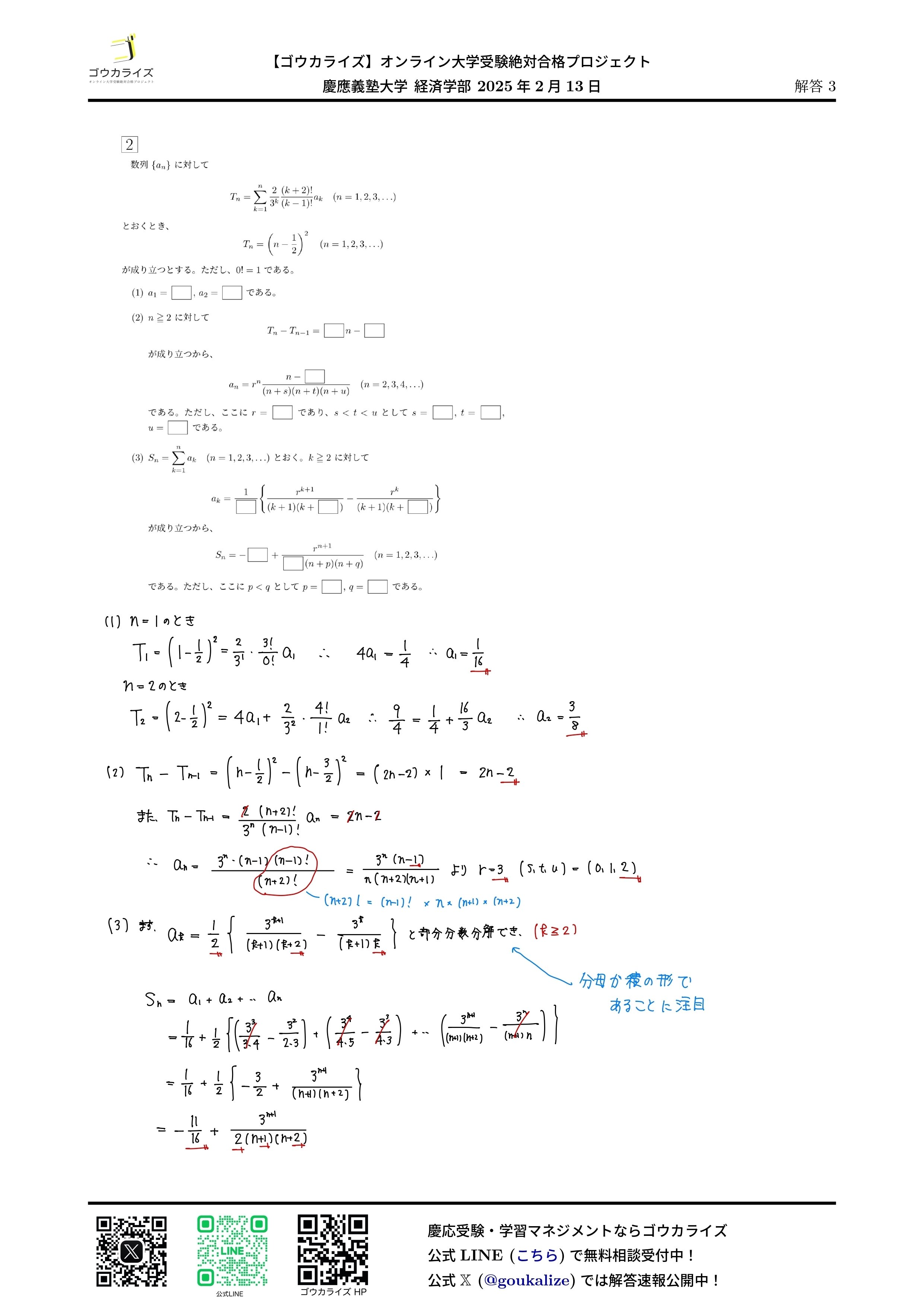
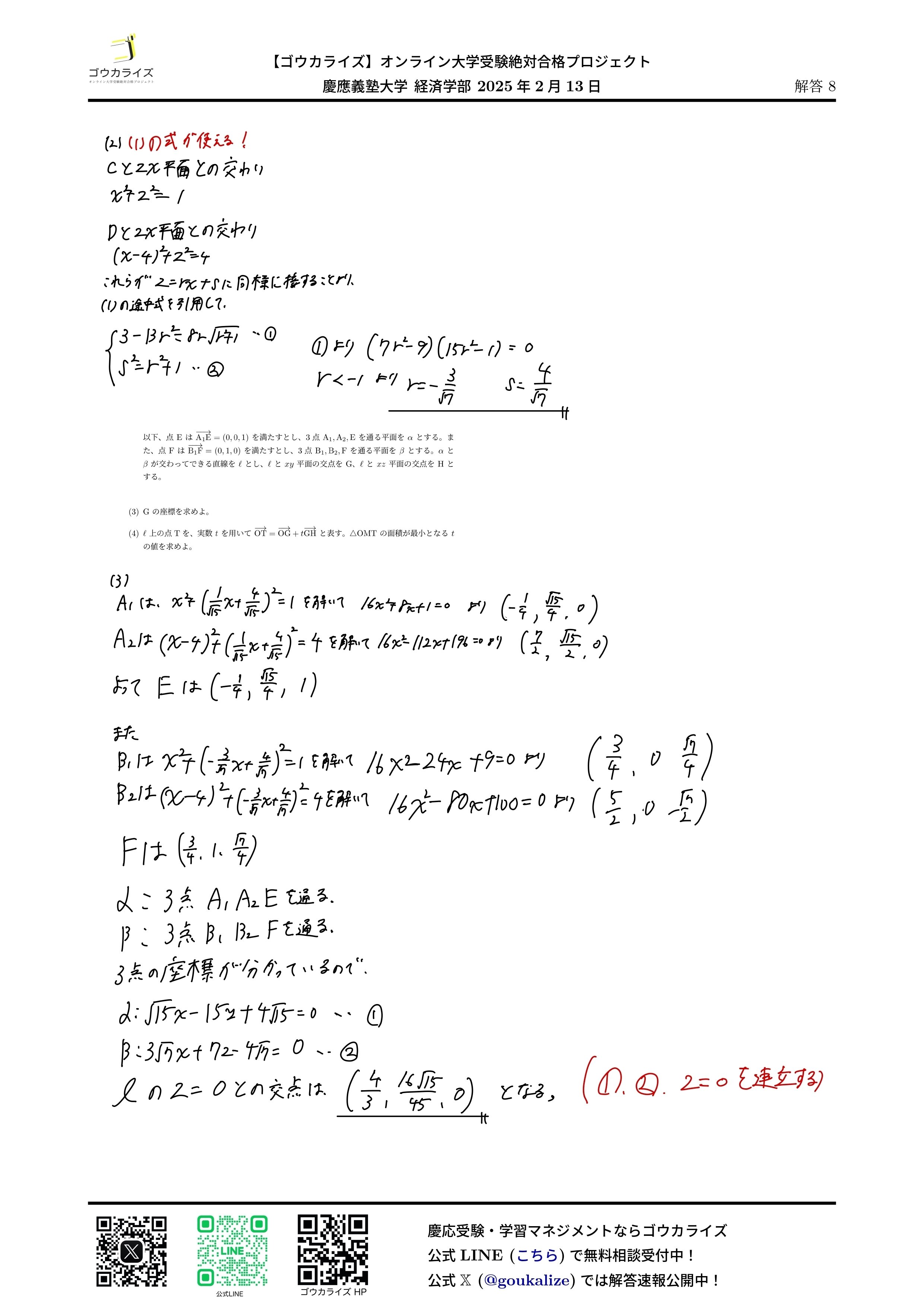
解答










PDFはゴウカライズ公式HPから見ることができます
医学部受験生はこちらへ!
獣医学部受験生はこちらへ!
ゴウカライズ編集部
オンライン予備校ゴウカライズの編集部が、大学受験に役立つ情報を整理してお届けしています。
