
Blog
大学受験ブログ

凸不等式(イェンゼンの不等式)とその利用例
ゴウカライズ編集部
みなさん、凸不等式(イェンゼンの不等式)はご存知でしょうか?
凸不等式は、上に凸 (または下に凸)の関数に対して成立する不等式で、受験でもしばしば使われることがあります。
そこで、ゴウカライズ講師のkinseiさんが「凸の定義」としてよく使われるものと、その便利な言い換えを解説し、凸不等式を証明したpdfを作成しました。
また、Xにてその利用例をいくつか投稿しています。
それもこのノートにまとめました
凸不等式の解説pdf
kinseiさんによる解説pdfは下のXでのポストから入手できます。
凸不等式の利用
凸不等式の利用例をいくつかポストしています。
それをこちらにまとめます。
相加・相乗平均の大小関係

まずは相加・相乗平均の大小関係(一般形)の証明です。logの凸性の利用はしばしば用いられます。
ヤングの不等式
ヤングの不等式と呼ばれる重要な不等式も凸不等式(logが下に凸)を用いることで証明できます。
すでに紹介したn変数の相加相乗平均の大小関係も、ヤングの不等式を用いることで証明できます。

円に内接する三角形の最大値
円に内接する三角形が最大値をとるのは、三角形がどんな形の時でしょうか?
そのことの証明のひとつのアイデアを与えます。

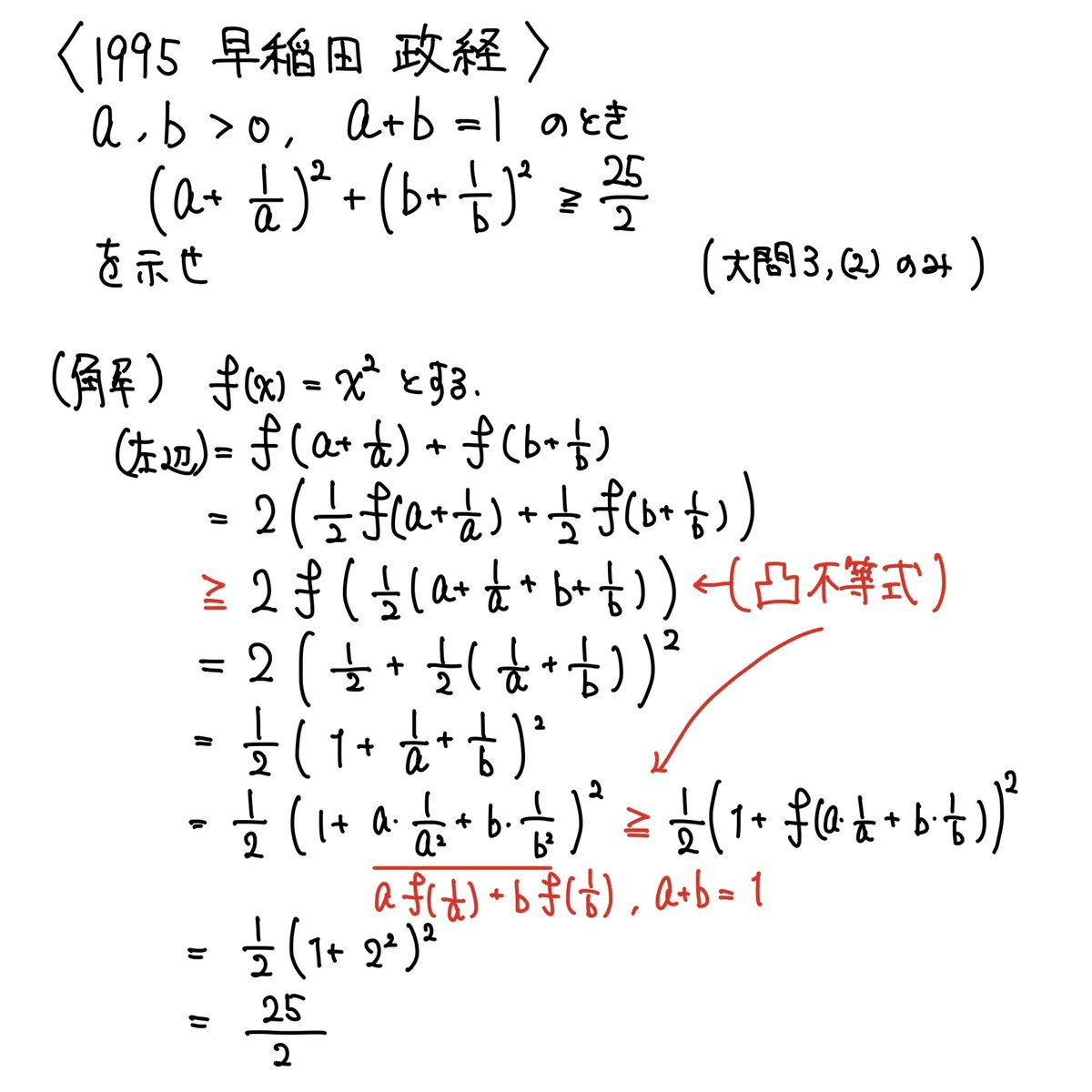
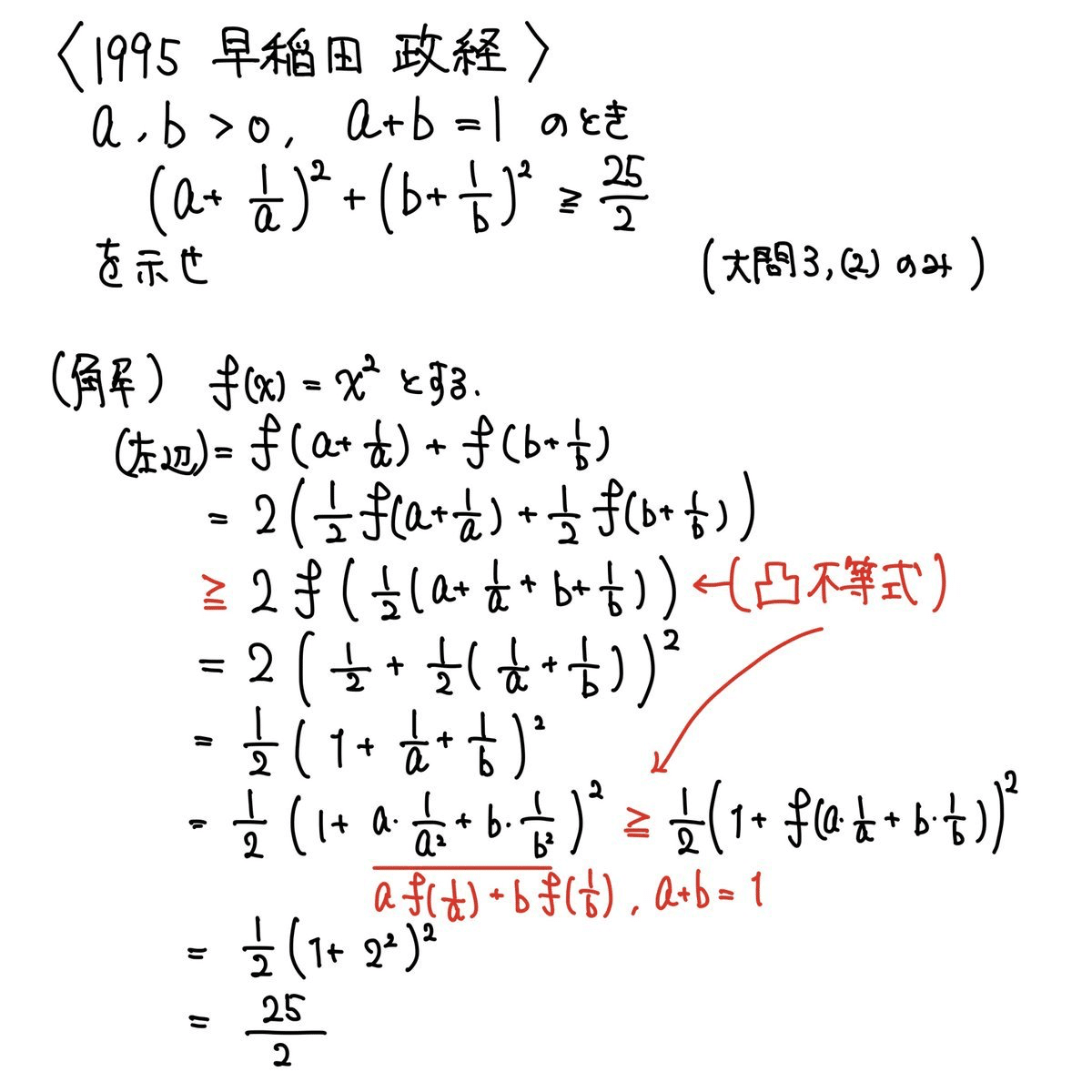
早稲田政経 1995年の問題
この問題にも凸不等式を使うことができます。
(この問題の(1)では凸不等式を使うことを意図させる誘導がついていました。)
リプライや引用リポストに別解があります

1999年 京大
内接三角形の面積についての考察と全く同じです。
この点に着目して、別の方法で内接三角形の面積の最大値を考察してもこの問題を解くことはできます。その別解をリプライから読めます。

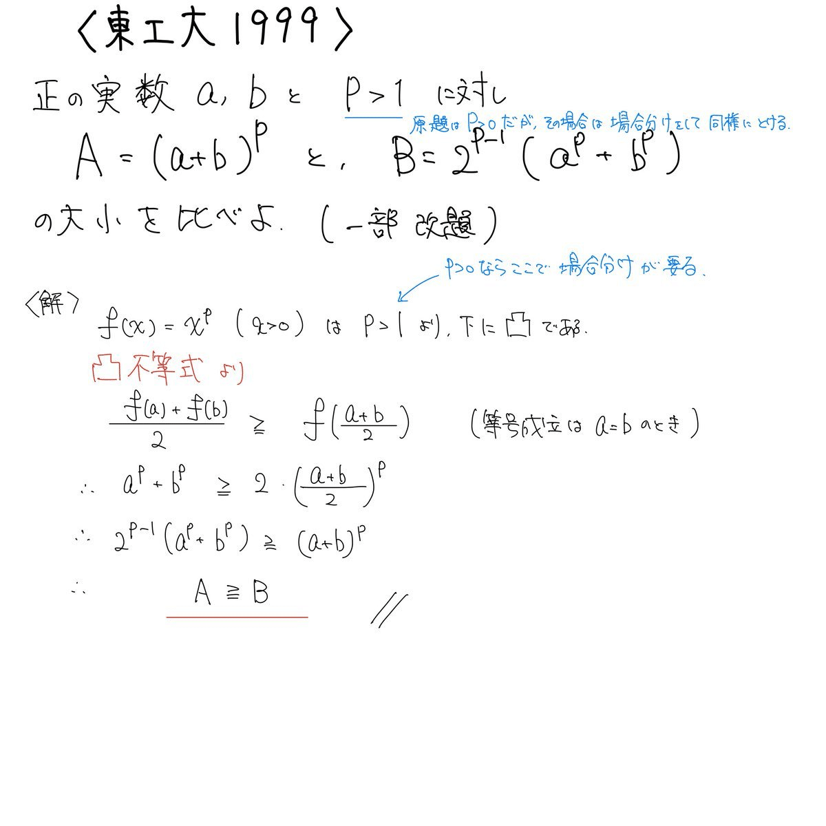
1999年 東工大

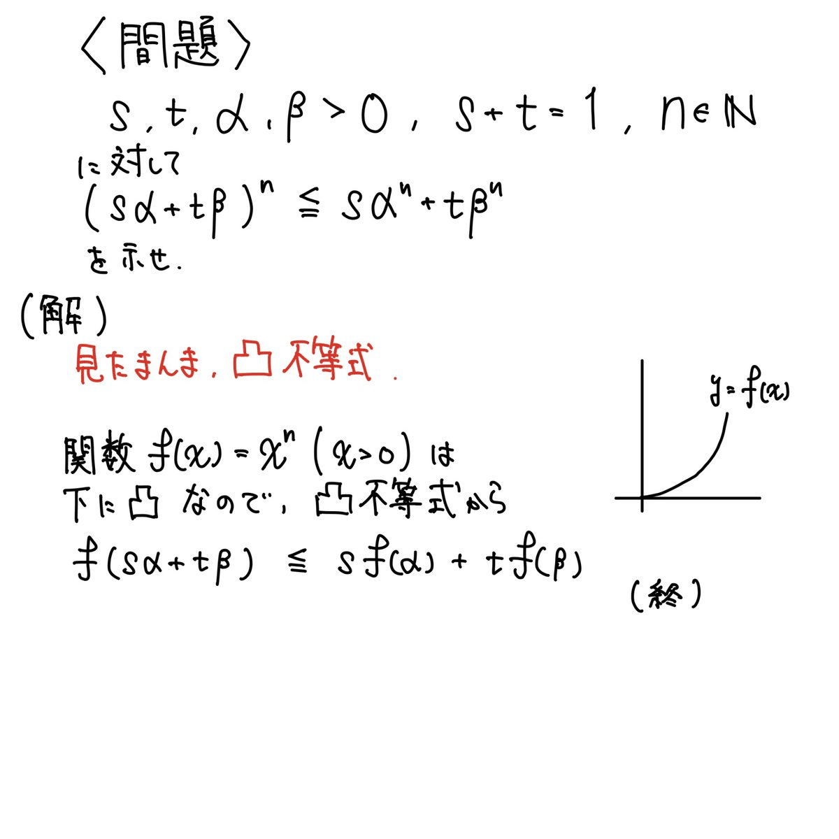
不等式の証明練習

医学部受験生はこちらへ!
獣医学部受験生はこちらへ!
ゴウカライズ編集部
オンライン予備校ゴウカライズの編集部が、大学受験に役立つ情報を整理してお届けしています。

